联系我们

广州弘天通讯设备

江生

159-9245-2221(推销勿扰)

15992452221

747675366

747675366@qq.com

广州市大龙街沙环西路21号101

为什么采用30.72MHz作为最小采样率?

发布者:广州弘天通迅设备发布时间:2025-12-14访问量:234

我们在说 LTE 和 5G NR 基带系统的采样率时,经常会遇到一个看似违反直觉的事实:对于 20MHz 的基带信号带宽,转换至数字域所需的最低采样率是 30.72MHz。

问题是:为什么是 30.72 MHz,而不是20MHz带宽的两倍即40MHz?  奈奎斯特定理不是要求采样率至少为信号带宽的 2 倍嘛? 

在解答上面两个问题之前,我们首先要理解“正交采样”(Quadrature Sampling)的概念。在 LTE 的发送与接收设备中,采用的是正交系统结构,如上图所示:

为什么采用30.72MHz作为最小采样率?

其中 I(同相)和 Q(正交)两条路径分别有自己的混频器和滤波器来处理信号。I 信号和 Q 信号通过同一个本地振荡器(LO) 混合,不过这个本振在其中一条 LO 路径上设置了一个 90° 的移相器 。这个90度的相移确保了 I 信号和 Q 信号彼此正交且互不干扰。


根据奈奎斯特采样定理,在进行模拟/数字信号的转换过程中,当采样频率大于信号中最高频率的2倍时,采样之后的数字信号完整地保留了原始信号中的信息。

为什么采用30.72MHz作为最小采样率?

在上面这样的一个系统中,当我们说 20MHz 带宽时,实际上是指复数信号的带宽,表示 I 和 Q 路径各承载 10MHz 的信号,两者合并后总带宽达到 20MHz。

由于每条路径上的10MHz带宽,30.72MHz的采样频率已三倍于10MHz”,也就是说大大超过了奈奎斯特采样定理所要求的最低采样率。

然而,有人可能会问,根据奈奎斯特采样定理,不是 20MHz 的采样频率就足够了吗?为什么会是 30.72MHz?因为通常来说,越高也就意味着更多的数据点,这将导致更大的文件大小和存储需求。


那么,接下来,我们来看看为何是 30.72MHz 的采样率,而不采用 20MHz 或者30MHz。

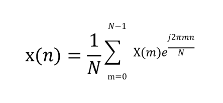
这涉及到 LTE 和 5G NR 的发射机与接收机设计,尤其是它们是如何利用 OFDM 技术来生成子载波的。在 OFDM 系统中,逆离散傅里叶变换(IDFT)或逆快速傅里叶变换(IFFT)被用于生成 N 个子载波。

比如说采用IDFT公式:

为什么采用30.72MHz作为最小采样率?

在这个公式中,N 是 IFFT 的大小,也是 OFDM 符号中子载波的总数,m 表示第 m 个子载波。

N 是怎么得出具体值的呢?

具体到LTE信号,若带宽为 20MHz,设定它的子载波间隔 SCS(Sub-Carrier Spacing)设定为 15kHz,基于上面的公式计算,理论上可得 1333.33 个子载波。

然而,IFFT的大小通常选择为一个大于子载波总数的2的幂次,以便于实现快速傅里叶变换(IFFT)算法。由于 1333 不是 2 的幂次,通常选择最接近 1333 的且大于1333 的 2 的幂次。因此,使用 211= 2048 个点的 IFFT 变换。

即 N=2048,根据下面的公式:

为什么采用30.72MHz作为最小采样率?

根据上面的设定,SCS 子载波间隔f间隔为 15kHz ,代入 N=2048 ,可以得出采样率f采样:

为什么采用30.72MHz作为最小采样率?

f采样=2048×15×103 Hz

=30.72×106 Hz

=30.72 MHz

上面这一计算方式同样适用于其他 LTE 和5G NR的带宽与 SCS 的场景,以确定相应的采样率。同时,根据3GPP的规范,5G NR的实际子载波数目为1272,采用30.72MHz采样率也是够的。

总结而言,采样率之所以设定为 30.72MHz,是因为它不仅满足了奈奎斯特采样定理的要求,还考虑到了正交采样的特性,以及 OFDM 技术中子载波生成的实际需求,尤其是 FFT 的使用限制。这一采样率的选择确保了系统能够高效地处理宽带信号,同时保持了信号的完整性与准确性。

若有叙述有偏差或不对的地方,望见谅,一起讨论。


光纤熔接业务:
我司拥有的光纤熔接安装工具、光缆线路测试仪、光纤测试设备等。承接全广州番禺南沙从化黄埔天河海珠越秀荔湾)及全佛山禅城顺德南海三水高明)等同行光纤熔接业务,专业熔纤多年,OTDR光时域测试,光纤通断测试,光纤质量测试,断点故障排查,大小机房割接,光纤施工,光纤维修等。价格保证较优销售光纤光缆、光纤收发器、光纤模块、光纤配件等!!!

关注微信公众号
微信扫一扫,加好友

遇到问题?请给我们留言

请填写您的电话号码,我们将回复您电话